微信掃碼
不僅是專業的導購
還是聊車的好伙伴
微信掃碼
不僅是專業的導購
還是聊車的好伙伴
冷藏車、保溫車隔熱車廂(以下簡稱隔熱車廂或車廂)是所有冷藏車、保溫車的重要裝置。作為車廂,它具備廂式汽車車廂的共性,但又要求它具有良好的隔熱保溫性能。因此,在結構上就是圍繞如何提高車廂的隔熱保溫性能進行設計。
隔熱車廂是由頂板,底板(地板)、左右側壁、前壁、后壁(后門框)和門組成。由于要求車廂具有隔熱保溫性,因此它的骨架具有承載為目的的骨架稱為主骨架(與一般車廂的骨架作用相同)。這種骨架一般選用強度和剛度較高的金屬(鋼、鋁型材)結構。常見的截面有

內蒙皮均為平板形。為了防止冷凍胴體(整塊凍豬、牛、羊肉等)等貨物攔壞內蒙皮,有的車廂還在金屬內蒙皮內表面再裝上木夾板內蒙皮。內外蒙皮常用材料有:鋼板、鋁合金板,不銹鋼板,玻璃鋼板等。一般金屬蒙皮厚度為0.8-1.5mm,非金屬蒙皮厚度為2-3mm,蒙皮與骨架的連接方式通常采用拉鉚連接(即單向膨脹的抽芯鉚釘連接)。
內外蒙皮之間的無骨架空間為隔熱層,其間應填充隔熱材料。
(二)隔熱車廂的結構型式


根據結構隔熱車廂
1、整體結構隔熱車廂
(1)整體骨架式隔熱車廂,該車廂是在一般車廂基礎上發展而成的傳統結構,其骨架如圖2-18所示。在骨架交匯處,一般焊接加強板,以增加整體強度和剛度。
車廂加工工藝流程大致如下:
零部件制作→各片金屬骨架總成→車廂金屬骨架總成→鉚接外蒙皮→安裝輔助骨架→填嵌或噴涂隔熱層泡沫材料→裝內蒙皮→裝廂內壓條及附件→裝后門總成。
①整體骨架填嵌式車廂,當采用硬聚苯乙烯泡沫塊作為隔熱材料,只能采取填嵌工藝。廂體結構如圖2-19所示。


該車廂結構特點是:車廂的強度和剛度大,型式簡單,不需要特殊的型材,但工藝繁瑣。由于硬聚苯乙烯泡沫材料的導熱系數較大,為了提高車廂隔熱性能,勢必加厚廂壁,增加車廂的整備質量,減小了有效容積。因此該型式車廂多用于保溫性能要求較低的保溫汽車上。
②整體骨架硬聚氨脂噴涂式車廂。車廂結構如圖2-20和圖2-21所示。它與上述的填嵌式結構主要不同之處是隔熱層采用現場噴涂發泡硬聚氨酯泡沫成形式藝,該工藝易于使隔熱材料充滿整個車廂的隔熱空間,故隔熱性能較好;硬聚氨酯導熱系數比聚苯乙烯的要低,因此在保證車廂總傳熱系數K一定的前提下,可減小車廂壁厚。但噴涂發泡的隔熱層厚度不易控制均勻,因此安裝內蒙皮之前,隔熱層內表表面須經加工取平。現場噴涂發泡空氣污染比較嚴重,工人勞動強度大,因此現場噴涂發泡工藝不如后敘的現場注入發泡工藝先進。
(2)整體隔熱層式車廂,這種結構型式是先以整體骨架型式或以分片拼裝型式制成車廂,預留隔熱空間,然后整體注入硬聚氨脂泡沫。這種車廂的最大特點是它具有完整的隔熱層,車廂的隔熱,密封性能好。
若是采用現場噴涂發泡工藝,則需先噴涂發泡材料,形成隔熱層,取平后裝車廂內蒙皮。
整體隔熱層式車廂的工藝流程大致如下:
車廂外部整體成形→車廂淋雨試驗→安裝車廂內蒙皮→注入發泡材料→安裝廂內附件→安裝車廂后門。
注入發泡有兩種方法:一為液態發泡,又稱“一次發泡法”。即將液態聚氨酯各組分機械攪拌,高壓噴霧成形,另一種為泡狀發泡,又稱“二次發泡法“。即將聚氨酯各組分在注放前先進行一定程度的發泡,然后再注入隔熱層空腔內發泡定型。由于發泡工藝分兩步進行,因此,第二次發泡時,聚氨酯的膨脹力已降到廂壁蒙皮可以承受的程度,因而不需大型夾具。當然,二次發泡工藝較復雜且難掌握,發泡質量也稍遜色。圖2-22為采用整體骨架式的整體隔熱層車廂結構圖。



2、分片拼裝隔熱車廂
分片拼裝隔熱車廂結構特點是:將組成車廂的六大片(頂板、底盤、左右側壁、前壁、后壁)和門事先采用聚氨酯或聚苯乙烯泡沫材料分別形成各自的廂壁隔熱層,然后利用合適的連接方式(如鉚接,粘接,螺紋連接工嵌合連接加鉚接等),將各片拼裝成完整的車廂。
分片拼裝隔熱車廂根據加工工藝不同,可分為分片拼裝硬聚氨酯注入發泡式和“三明治“板預制粘接式兩種。
(1)分片拼裝硬聚氨酯注入發泡式,在結構上,該型式車廂的關鍵是處理好各片之間的拼接,拼縫的密封和:“斷熱橋”的布置。要求拼接方式合理,連接可靠,裝配方便,嵌合型材的品種要少,在工藝上,則要首先保證硬聚氨酯與內外蒙皮,骨架等粘接可靠,其次,要求聚氨酯密度均勻,其均勻性和拼接方式比整體式好,工藝也簡單。
分片拼裝式隔熱車廂結構如圖2-23所示。該車廂各片拼裝的嵌合連接鋁型材斷面形狀如圖2-24(a)、(b)、(f)、(g)、(h)、(j)所示。



裝配時,車廂底板裝在車廂底架(副車架)上,前壁,左右側壁立在底板上并用鋁型材與車廂底回橫梁螺栓面連,底板后端與后門框采用嵌合緊固。車廂內各廂壁之前連接處均采用角形鋁材鉚接,并涂以密封膠帶等密封材料。車廂內裝有“T”字形鋁材地板或花紋地板,以及掛鉤、掛軌,導風條,排水管,照明和報警裝置等。車廂裝配后,還須在其拼縫處注入聚氨酯泡沫材料,以增加密封性,減少熱傳導。
分片拼裝式聚氨酯注入發泡隔熱車廂的工藝流程大致是:
零部件制作→各片骨架焊接成形→鉚接內外蒙皮→各片單獨注入聚氨酯發泡材料形成隔熱層→各片拼裝成車廂(包括后門框)→拼縫注入發泡材料→安裝廂內連接件和附件。
(2)“三明治”板預制粘接式“三明治”板拼裝結構是近年來發展起來的一種新型隔熱車廂結構。它不但在冷藏車保溫車上得到迅速發展,而且在冷藏集裝箱上也被廣泛采用。
“三明治”板又稱復合板工夾層板。它是由上、下蒙皮和夾在中間的隔熱材料板組成。蒙皮材料多為鋁板,不銹鋼板等金屬板以及玻璃纖維類的工程塑料板。隔熱材料一般選用性能優良的硬聚氨酯泡沫,也可選用硬聚苯乙烯泡沫,還可選用硬聚苯乙烯泡沫與硬聚框酯泡沫組合而成的隔熱層。
“三明治”板制造工藝流框大致如下:
①蒙皮下料,清洗,將蒙皮其中一人表面打磨粗糙,清除表而塵物,噴涂底漆;
②將一塊已經上述處理的蒙皮放入形狀類似無蓋矩形飯盒的模具內,噴漆表而朝上;
③蒙皮上表而滿噴粘膠液
④放置隔熱材料
⑤在隔熱材料的上表而滿噴粘膠液
⑥放置上蒙皮,注意將處理過的蒙皮表面朝向粘膠液
⑦真空加壓“三明治”框
⑧消除壓力、固化
由于“三明治”板中沒有骨架,因此要求隔熱材料具有一定的強度。通常要求隔熱材料的壓縫強度達400kpa,拉伸強度為600kpa,剪切強度為300kpa.“三明治”板粘接的隔熱車廂結構如圖2-25所示。
名片“三明治”框預制成形后,先用粘膠劑將其拼裝成車廂,然后車廂內外拼縫處采用
型、
型等鋁型材,將其鉚接成整體。鉚接前 應將鋁型材和鉚接的廂框表面縫洗干凈,然后在接合面處涂刷丁基框膠密封,后門框與后漆的連接除采用鉚接方法以外,還可采用焊接,螺栓連接等方法。圖2-26為“三明治”框粘接拼裝過程示意圖。


隔熱材料選料選用硬聚氨“三明治”板,制作中無需整體注放發泡式所要求的大型夾具,在拼裝、剪切“三明治”框粘接拼裝過程示意圖。
隔熱材料選用硬聚氨縫泡沫的“三明治”板,制作中無需整體注入發泡式方法幾乎是不可能做到的。
試驗證明,采用“三明治”板材時,可以及時檢查其外觀和內在質量,如是否存在“空穴”,“燒心”等缺陷,但這對于采用注入發泡式方法幾乎是不可能做到的。
試驗證明,采用“三明治“板粘接拼裝的隔熱車廂總傳熱系數K值和縫氣倍速數L值,均比采用分片拼裝硬聚氨酯注入發泡結構的車廂低,此外,它還具備以下優點:
①廂體外表平整,光滑、廂體質量小;
②廂體結構簡單,工序簡便,適合成批和多品種生產
③車廂斷熱橋設計更為合理
④車廂隔熱,密封性能好,熱工指針可達國家專業指標的A級標準。
但是它也存在粘接強度及車廂強度較差的問題
(三)隔熱車廂的結構設計
車廂結構設計除了要滿足有關整車的國家標準以外,還應使車廂具有適度的強度和剛度,力求減小自身質量,工藝簡簡單,系列化,通用化和標準化程度高,具有良好的隔熱性能以及值用,維修和保養的方便性等。
1、隔熱層材料與厚度
(1)對隔熱層材料的要求
①發泡均勻,密度小;
②導熱系數盡可能小,一般要求在0.045W/(m·K)以下
③對溫度變化的穩定性要好,在-40至70℃的使用溫度范圍內,使用性能要滿足規定的要求;
④具有一事實上的機械強度,能承受汽車在惡劣道路條件下的振動,沖
⑤吸水性和吸濕性低,耐腐蝕,搞凍性能好
⑥無毒無味,透氣性小,隔熱材料使用和燃燒時,不得分解出有毒和有害氣體,
⑦價格低,易成形,可采用充填,澆注,噴涂等工藝形成車廂隔熱層。
(2)隔熱材料的種類,目前,普遍應用的隔熱材料主要有聚苯乙烯沫和聚氨酯泡沫兩種。
聚苯乙烯泡沫是以含低沸點液體發泡劑的可發性聚苯乙烯顆粒,經加熱預發泡后,在模具中加熱成型而得徽孔型蜂窩結構的泡沫材料。其物理機械性能見表2-6。

聚氨酯泡沫隔熱材料是目前應用十分廣泛的優良隔熱材料,其主要物理機械性能為:導熱系數0.03W/(m·K),搞拉強度2500MP。搞壓強度2000MPa,與鋼板粘接力2900MPa,與膠合板粘接力1400MPa.
影響聚氨酯隔熱材料導熱系數的主要因素有:泡沫密度,氣泡直徑,氣泡獨立率,濕度和溫度等,如圖2-27所示。

隔熱材料在使用過程中會發生老化,因此隔熱車廂在使用6年左右時間就應該按有關規定重新測定總傳熱系數,不符合規定的則應降級使用。
(3)隔熱層厚度,隔熱層厚度由車廂的使用要求和選用的隔熱材料耐定。若選用聚氨酯泡沫隔熱材料,對于冷藏車,其厚度在50-120mm之間,對于保溫汽車,其厚度在30-70mm之間。若選用聚苯乙烯泡沫隔熱材料,其厚度一般比聚氨酯泡沫材料增加20%左右。
圖2-28為聚氨酯,聚苯乙烯泡沫隔熱材料的厚度與車廂總傳熱系數K值的關系,設計時可先按圖示尺寸選擇,然后再根據總傳熱系數K的計算公式進行校核。

2、斷熱橋結構設計
由低熱阻材料相連的車廂內外壁所構成的熱流區稱為“熱橋”,盡管熱橋面積只占車廂面積的2%-5%,但對車廂總傳熱系數的影響卻很大。
設計斷熱橋的目的就是阻斷熱橋,排除車廂內外蒙皮直接與金屬零件相連,為此將骨架分為兩類:即以承載為目的的主骨架和以耐熱為目的輔助骨架。
圖2-29示出了幾種斷熱橋的結構。

分片拼裝式車廂斷熱橋如圖2-29(a)所示,它采用金屬主骨架與內外蒙皮連接,利用輔助骨架將內外主骨架連接成一整體。
圖2-29(b)為整體骨架式車廂斷熱橋結構,它采用主骨架與外蒙皮連接,輔助骨架與內蒙皮連接,而主,輔骨架彼此相連。
圖2-29(c)預制復合板式(即“三明治”式)車廂斷熱橋結構,其結構特點是:內蒙皮與主骨架連接,外蒙皮與輔助骨架相連,而主,輔骨架采用雙組分低泡聚氨酯膠粘接。
3、車廂門及附件
這里所述的車廂門與本章第二節廂式零接運輸汽車的車廂門相比,要復雜得多,這是由兩者用途和使用條件相差較大。
隔熱車廂門在裝卸作業時,成為裝卸冷藏貨物的進出通道,而在運輸途中它卻成為廂壁一部分,因此,對車廂門的主要要求是,開啟自如,裝卸方便,關閉可靠,密封良好,具有道度強度,剛度和預期的使用壽命,此外,車廂門開啟度還應符合交通規則。

車廂門結構型式很多,可以從不同角度進行分類,例如:
還有由幾種不同型式的車門組合而成的復合式車廂門。


圖2-30所示為幾種較為物殊的車廂門。圖中(a)為上門卷簾式,下門反沖式的復合門。下門的開啟和關閉采用空氣彈簧進行。圖中(b)為兩扇鉸鏈后門外裝自動起重的尾門。裝卸貨物時,尾門起重,運輸時,兩扇門關緊,吊桿橫放在車廂內的后門中部。圖中(d)為頂開式廂門,其優點是便于使用吊裝機械裝卸貨物,而且廂門可自動開啟,并可保持不同的開度。圖中(e)為后大門上裝有后小門結構,其優點是:大門便于集中裝卸較大貨物,小門則利于分放零星裝卸貨物,以減少車廂內外的熱交換,圖中(f)為車廂兩側壁和后壁均具有向上打開機構,它們既是車廂壁又是車廂門,其優點是:廂門打開時,便于集中,快速裝卸。圖中(g)為單開鉸鏈式后門,它能根據貨物裝卸情況,決定后門的開度,圖中(h)為鉸鏈,折迭式復合后門。它比(g)示后門開啟程度更大、開啟更靈活,而且后門開啟的時所占空間更小,有利于裝卸安全。圖中(i)為拉移式側開雙門,其特點是:一是廂門開度可調,二是廂門開啟不占空間位置。
廂門的寬度和高度尺寸主要取決于門框的結構尺寸,門與門框的配合間隙,門的數量和門的結構型式等,門的厚度應與廂壁一致,門與門框配合間隙應根據門的結構和密封條的斷面形狀進行選擇,對于鉸鏈式結構廂門,其配合間隙為10-20mm.廂門附件主要有門鉸鏈和門鎖機械,具體布置型式如圖2-31所示。

門鉸鏈型式較多,鉸鏈座和鉸鏈板常用3-5mm厚鋼板沖壓成形。也有采用鍛(鑄)鋼件,鋁合金鑄件或壓鑄件等。設計時可根據車廂門質量、密封銷緊力,供 應材料及工廠的工裝設備等情況選取。
門鎖機構型式較多,常用的兩種門鎖機構如圖2-32所示。門鎖桿一般采用直徑20-30mm的鍍鋅鋼管或不銹鋼管,兩端焊接鎖扣,鎖扣一般為凸輪形,偏心圓柱形或小塊平板形。鎖扣座固定在上下門框上,其形狀,大小要根據所選用的鎖扣確定。門把手一般采用金屬壓型件,長度多為300-500mm,厚為8-12mm.

車廂外附件主要包括:門梯(或稱腳踏板)和工作梯,由于車廂地板距離地面高度為1000mm左右,因此,在廂門下面設置門梯可以方便人員上下和貨物裝卸,對于機械冷藏車,還需在車廂前壁與側壁結合部位附近安裝工作梯并在駕駛室上方空間處安裝踏板,以方便對制冷機組進, 行檢修。
門梯和工作梯分為固定式和活動式兩種,活動式靈活方便,但結構比較復雜;
固定式簡單,可靠,但它占據的空間較大,門梯與工作梯結構型式如圖2-33所示。

車廂內附件主要有掛鉤和掛軌等。裝運肉類胴體時,為保證運輸食品不變質,需使廂內空氣保持良好的流通,將胴體掛置在廂內。為此,在廂內頂板上裝置了掛軌,掛軌上安裝了掛鉤。掛鉤可在掛軌上面定或沿掛軌移動。圖2-34為掛鉤和掛軌的幾中型式。為防止胴體因其慣性力作用而發生擺動和滑動,一般在廂內兩側壁之間連有欄索,將胴體沿車廂縱向攔成向個區域。
為了引導廂內空氣沿正確方向流動,使廂內溫度趨于均勻。通常在廂內前壁、側壁和后門內板上裝有導風條,導風條截面一般為矩形和梯形。四壁導風條還起保護廂壁不被貨物撞傷的作用。車廂板上面通常鋪裝異型地板結構如圖2-35所示。

當清洗車廂地板,冷凍食品融解和制冷裝置除霜時,廂內底板經常積水,除了異形地板可起臨時貯水作用外,還必須設置漏水管(排水管)以便將積水及時排除干凈。漏水管除具排水功能外,還應具良好的密封功能,在不排水時,漏水管能自動密封,以保證隔熱車廂的隔熱性能。圖2-36為常見的一種漏水多到一定程度時,依靠積水的重力將橡膠管脹開排水。另一種漏水管為一截塑料管,上端與車廂底板齊平或略低,下端通到廂外,并用塞子將其出口封死,需放水時,將塞子打開即可。漏水管的布置與數量應根據車廂總布置確定。

為防止運輸或裝卸貨物時不慎撞壞制冷裝置,一般在廂內安裝有蒸發器保護架,如圖2-37所示。
4、副車架
副車架就是車廂的底板骨架,它是車廂的一部分。它支承著車廂的總質量,同時運過它將車廂安裝在汽車車架上(見圖2-4)。為防止副車架對主車架縱梁產生應力突變,通常將副車架縱梁前端設計成圖2-38所示的幾咱型式。

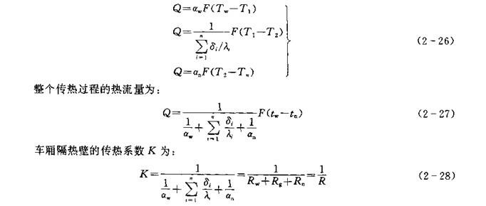
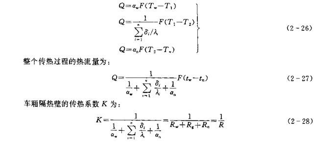
(四)冷藏車、保溫車汽車車藏隔熱壁的傳熱系數計算
車廂隔熱壁傳熱系數K是冷藏車、保溫車熱工計算的一個重要參數。它可按穩定傳熱和非穩定傳熱兩種方法求解。鑒于冷藏車、保溫車實際運行的車廂溫度場是隨時間不斷變化,因此,按非穩定傳熱工況計算更切合實際。然而實際運行的環境溫度,空氣的相對流速,廂內溫度不均勻性等多種因素的變化極為復雜,加之非穩定傳熱計算異常繁瑣,故廂壁傳熱系數一般仍采用穩定傳熱的方法計算。
穩定傳熱是指隔熱廂壁的溫 度分布和熱流大小不隨時間而改變,即具有穩定的溫度場,但是,理論上的穩定傳熱在實際使用條件下是不存在的。如果把某一時間內的環境溫度視為定值,并借助制冷或加熱設備使車廂內的溫度保持穩定,這樣按穩定傳熱計算是可行的。并可大簡化計算。
1、車廂隔熱壁的傳熱過程
車廂各壁板(包括頂板,底板,左右側壁、前壁以及后門等)均視為隔熱平壁(平板)。由于車廂壁板內外存在溫度差,因此就必然產生熱傳導現象。當熱量從隔熱平壁(平板)。由于車廂壁板內外存在溫度差,因此就必然產生熱傳導現象。當熱量從隔熱平壁一側傳至另一使時,一般經歷三個過程,即:高溫空氣中的熱量傳至高溫一側平壁表面,隔熱平壁內的熱傳導,即熱量從隔熱平壁高溫一側表面傳到低溫一側表面,熱量從隔熱平壁低溫一側表面傳至低溫一側的空氣中,上述傳熱平壁高溫一側表面傳到低溫一側表面,熱量從隔熱平壁低溫一側表面傳至低溫一側的空氣中。上述傳熱過程可以看成是以熱傳導為主要形式的隔熱平壁內的傳熱和以對流換熱,熱輻射為主要形式的隔熱壁面的邊界傳熱。
對于材質均勻的隔熱平壁,單位時間內通過平壁的熱量Q為:

式中
--隔熱平壁的傳熱系數(=, 1/R)[W/(m2·K)],R為隔熱平壁的傳熱阻(m2·K/W);
F—隔熱平壁的傳熱面積(m2)
--隔熱平壁的兩側溫度差(K)。
值反映了車廂平壁的傳熱程度,
值越大,傳熱過程越強烈,也就是說,在同樣傳熱面積和車廂內外溫差的情況下,傳遞的熱量越多,車廂隔熱性能越差,反之,車廂隔熱性能越好。
2、車廂隔熱平壁內的傳熱
車廂隔熱平壁內部的傳熱形式主要是熱傳導。如果把單位時間和單位面積所通過的熱量稱為熱流密度q(W/m2),則由傅立葉定律表述為:

式中
--溫度梯度(K/m);
--材料導熱系數[W/(m·K)]
式中負號表示熱量傳遞方向與溫度梯度方向相反,即指向溫度降低的方向,導熱系數
表示材料導熱能力的大小,其值與材料的種類有關,一般金屬材料的導熱系數較高,非金屬材料的導熱系數較低,空氣的導熱系數最小,車廂骨架常用材料在常溫壓下的導熱系數值見表2-7

(1)單層均勻平壁導熱計算,當隔熱平壁的長度和寬度比其厚度大得多,而且平壁兩側面分別保持溫度T1和T2時,可視其熱量僅沿壁面法線方向傳導導,即溫度只沿垂直于壁面X方向變化(見圖2-39)。

設距離左側壁X處,厚度為dx的薄層溫度差為
,根據傅立葉定律,經過該薄層的熱流密度
為:
式中
--隔熱平壁兩側面的溫度差(K);
R—隔熱平壁的熱阻(m2·K/W).
(2)多層均勻平壁導熱計算,實際的車廂壁板除了隔熱層以外,還有內外蒙皮,因此可視其為多層均勻的平壁,其導熱模型如圖2-40所示。

假設平壁面積很大,各層厚度為
和
各層材料的導熱系數分別
和
,并均視為常數,已知平壁內外側表面的溫度分別為T1和T4,且T1>T4,設多層平壁各層之間接觸良好,無接觸熱阻產生,故分界面接觸處無溫度驟降。在穩定導熱的情況下,平壁釋放的熱量應和它吸收的熱量相等,因此通過各層熱量也必然相等,根據式(2-7),每層的熱流密度
為:
將上式各層溫差加并簡化得:
(3)多層非均勻平壁導熱計算,當因熱橋而形成的熱流短路時,平壁的溫度分布就不能按一維穩定溫度場來研究,具有熱橋短路的多層非均平壁導熱可按圓弧熱流法進行計算。圓弧熱流法基于下列假設
①凡與外壁金屬板相邊接的多屬骨架,其溫度與外壁金屬板的溫度相同,細小金屬連接體的導熱不予考慮;
②熱流在金屬骨架兩側按圓弧狀流線從高溫向低溫流動,在轉過90度角度后,熱流垂直于壁板(見圖2-41);

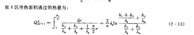
③不同材料相互密接,接觸結構如圖2-41所示,圖中可將兩根金屬骨架之間的區域劃分成一個單元,其中包含4個熱流區,即ⅠⅡⅢ和Ⅳ區,各區傳熱過程如下:
Ⅰ區:此區寬度就是圖示的金屬骨架寬度
(木楞寬度)b,根據假設沿寬度b向的溫度和外壁表面溫度相同,當內外壁面的溫度差為1K時,則通過該區傳熱面積為F的熱量為:
如取隔熱壁的高度(其方向垂直于寬度b向)為1m,則1區面積F=bx1m,因此通過該傳熱面積F的熱量為:

式中h1—金屬骨架筋板厚度(m)
h2—斷熱橋(木楞)厚度(m)
h3—斷熱橋(木夾板)厚度(m)
—金屬材料的導熱系數[W/(m·K)]
—斷熱橋材料的導熱系數[W/(m·K)].
Ⅰ區:熱流從金屬骨架之筋板右緣向右沿圓弧方向通過隔熱材料到達圖示A-A線,然后沿著垂直于A-A線方向流向內壁。由金屬骨架筋板傳出的熱流路程是逐漸變化的,也就是說,熱流的最小圓弧半徑
=0,熱流最大圓弧半徑
可根據從外壁面傳入的熱流與金屬骨架筋板右緣傳出的熱流抵達A-A線時,熱阻值應相等的條件,即:



3、車廂隔熱壁邊界的傳熱
(1)空氣與隔熱壁表面的對流換熱,對流換熱是流體與某一固體表面相接觸所產生的換熱過程,它是由于流體的對流和流體分子間的導熱聯合作用的結果,對流換熱可分為自然對流和強制對流。自然對流是由于流體各部冷熱不均而引起的流動,強制對流則由于外部的作用,例如風機或其他壓差作用而產生的流體流動。無論是哪種形式的對流換熱,單位時間,單位面積上所交換的熱量均可用牛頓公式計算:








2、隔熱車廂的熱負荷計算
冷藏車、保溫車隔熱車廂熱負荷的計算是設計,選用制冷裝置和加溫設備的依據,隔熱車廂熱負荷計算分別如下:
(1)從車廂外經隔熱壁傳入車廂內的熱量Q1






另外,湖北程力專用汽車有限公司還主導生產銷售的產品有:灑水車、牛奶運輸車(奶罐車)、液化氣體運輸車(壓力容器罐車)、爆破器材運輸車(防爆車)、流動舞臺車(舞臺車)、半掛車、平板運輸車、垃圾車、吸污車、吸糞車、消防車、清障車、掃路車、冷藏車、自卸車、高空作業車、高壓清洗車(清洗車)、水泥攪拌車、化工液體運輸車(化工車)、隨車起重運輸車(隨車吊)、廂式車、倉欄車、粉粒物料運輸車(粉粒車)等專用車型。公司注冊商標程力威牌,國家產品代碼:“CLW”獲得湖北省著名商標。同時湖北程力汽車公司擁有自行出口權。 湖北程力專用汽車有限公司建廠以來,憑借優良的品質、優惠的價格,贏得全國各地乃至國外客戶的一致贊譽.時間見證質量,聯系見證服務,購買見證實惠。我們秉承“質量第一,用戶致上”的方針,誠邀與廣大用戶攜手合作。
相關鏈接:http://www.ygdy.com.cn/news/carnews571.html
http://www.ygdy.com.cn/news/carnews574.html
http://www.ygdy.com.cn/news/carnews581.html

湖北程力專用汽車有限公司銷售部
2011-07-22
重汽豪沃檢修車(大流量排水搶險車) 整車型號:CL5040TPS6ACC 現車價格美麗 底盤配置:豪華寬體駕駛室、濰柴151、160馬力、萬里揚5檔、2.0T/4.5T、700R16鋼絲胎、原廠導流罩,半包圍駕駛室內飾,液晶儀表盤,帶中控、電窗、織物座椅、氣喇叭、原廠空調,全包裹、車鑰匙遠程遙控玻璃升降!重汽豪沃檢修車(大流量排水搶險車)圖片展示:?
程力汽車公司主要銷售:冷藏車、吸污車、環衛垃圾車、吸糞車、道路清掃車、高空作業車 地址:湖北省·隨州市·南郊平原崗·程力汽車工業園 網站備案號:鄂ICP備18017768號-134
鄂公網安備 42130202001503號